1. TAFONOMIA NEI CALCARI GRIGI, MEMBRO MEDIO e MEMBRO DI ROTZO, GIURASSICO INFERIORE, PIATTAFORMA DI TRENTO

Taphonomy of fossiliferous beds in the Middle and Rotzo Members of Calcari Grigi, Lower Jurassic, Trento carbonate platform


coordinator of Perugia: Paolo Monaco (Perugia, Italy)

contributions: Carmen Broglio-Loriga and collaborators of University of Ferrara (Italy), Sixto Fernández-López (Madrid, Spain)

Alice Giannetti, Paola Gigli, Silvia Roberti, Remo Ricco (Perugia)

extended summary from:

Monaco P. 2000. Biological and physical agents of shell concentrations of Lithiotis facies enhanced by microstratigraphy and taphonomy, Early Jurassic, Gray limestones Formation, Trento area (Northern Italy). In: R.L.Hall and P.Smith (Eds.), Advances in Jurassic Research 2000, GeoResearch Forum vol.6 (2000), Trans Tech Publ., Switzerland: pp.473-486.

Monaco P. 1999 - Computer database as a tool to investigate taphonomy and events in carbonate platform environments. In: A.Farinacci & A.R.Lord (eds.) Depositional Episodes and Bioevents, Paleopelagos, Spec.Public. vol.n°2, Roma (1999): 105-122.

• Monaco P. & Giannetti A. (2001) - Stratigrafia tafonomica nel Giurassico inferiore dei Calcari Grigi della Piattaforma di Trento. Atti Ticinensi di Scienze della Terra, vol.42 (2001), 175-209, 27 figg.

MONACO P. & GIANNETTI A. (2002). Three-dimensional burrow systems and taphofacies in shallowing-upwards parasequences, lower jurassic carbonate platform (Calcari Grigi, Southern Alps). Facies, 47, 57-82, Erlangen (2002).

© and permission of all colour photographs, text and charts by P. Monaco e-mail: pmonaco@unipg.it

back to abstract index

Fig.1, examples of shell beds in the Calcari Grigi limestones, Trento area, Pliensbachian.

click to enlarge


The Calcari Grigi formation and the Trento carbonate platform

Fossiliferous facies developed during the Lower Jurassic interval in several carbonate platform sequences of Tethys (Fig.1). The Grey Limestones, known as "Calcari Grigi" Formation of the Southern Alps, Northern Italy, constituted during the Early Jurassic time an wide shallow-water carbonate platform domain developed in the Western Venetian Prealps. This large structural and paleogeographic unit, the Trento Platform, formed an horst, 70-80 km wide, that rose with deep marine troughs on both sides at west and east, respectively, the Lombardo and Belluno basins (Fig.2).

I Calcari Grigi e la piattaforma di Trento

Facies fossilifere si svilupparono estesamente durante il Giurassico inferiore in molte successioni di piattaforma carbonatica della Tetide (Fig.1). I Calcari Grigi, estesa e conosciuta Formazione calcarea di piattaforma del Lias, affiora in molti settori delle Prealpi Venete (Italia nord-orientale), in particolare in quella che è conosciuta come la piattaforma di Trento. Questa importante unità paleogeografica e strutturale giurassica costituiva un horst ampio 70-80km, confinante ad ovest ed ad est con due profonde fosse, rispettivamente il Bacino Lombardo ed il bacino di Belluno (Fig.2).

Fig. 2, areal distribution of Trento platform, modified from Bosellini et al. 1981, and Zempolich 1993.

click to enlarge

The Trento platform was formed from an epicontinental stage at the end of the Triassic with a uniform sedimentation of a paralic-epicontinental type, evolving at the beginning of the Jurassic into an oceanic platform stage due to disintegration of the original Triassic epicontinental platform and showing a bahamian oolitic type of sedimentation. During the final stage of the Early Jurassic some calcarenitic facies developed along belts connecting the basin-platform system, as M. Baldo area (M. Lessini) located at west, and M.Grappa-Bassano one eastward, testifying high-energy regimes in the marine setting and outlinig in the center a lagoonal domain in the Trento-Rovereto area (see paleogeography of Bosellini & Broglio Loriga 1971). For facies analysis and paleogeographic reconstruction see the University of Ferrara, according to Masetti et al.(1998).

Recently, some authors subdivided the Grey Limestones Formation of the Asiago area in some members (lower, middle, upper and Massone, respectively) and the upper member has been formally named "Member of Rotzo" (near Rotzo, Asiago area), studied since last century near Rotzo village, for chronostratigraphic value of terrestrial plants, algae and microfossils of the Lithiotis facies (see Fig.3) and for lithostratigraphic markers. This upper part of Grey Limestones, the Rotzo member, falls mainly in the Pliensbachian and contain abundant fossiliferous beds. These facies represent a mine of information for palaeontologists as far back as the 19th century for the fossiliferous content mainly of large bivalves, gastropods and brachiopods. In the Pre-Alps the main interest for palaeobotanists derives from well preserved terrestrial floras of tropical environments recovered in some dark clayey levels of carbonate platform sequences, the famous Rotzo and Lessini land floras.

La piattaforma di Trento, alla fine del Trias, evolvette progressivamente da uno stadio epicontinentale a sedimentazione uniforme legata per lo più ad ambienti costieri, verso uno stadio di piattaforma oceanica all'inizio del Giurassico, mostrando un tipo di sedimentazione di tipo Bahamiano a facies oolitiche e facies legate alle maree (subtidali-peritidali). Durante lo stadio finale nel Giurassico inferiore, si sviluppano alcune facies calcarenitiche in fasce estese lungo i margini del sistema piattaforma-bacino, tipo l'area dei Lessini-M.Baldo ad ovest e del M.Grappa-Bassano ad est. Questo testimonia un regime di elevata energia sui bordi, e un dominio essenzialmente lagunare di minore energia complessiva nell'area centrale di Trento-Rovereto (Bosellini & Broglio Loriga, 1971). La paleogeografia giurassica è comunque in corso di studio presso l'Università di Ferrara dove esiste una dettagliata revisione delle facies e una modellistica ampia (vedi tra gli altri Masetti et al., 1998).

Recenti studi suddividono i Calcari Grigi nelle Prealpi Venete in alcuni membri, denominati inferiore, intermedio, superiore e di Massone. Il membro superiore è anche conosciuto in letteratura come membro di Rotzo, dall'omonima località posta ad est di Rovereto e altipiano di Folgaria, dove affiorano molte decine di metri di calcari fossiliferi, contenenti verso l'alto della successione le cosiddette facies a grandi bivalvi (facies a Lithiotis, vedi Fig.3) e marne scure ricche di resti vegetali oggetto di molti studi fin dal secolo scorso. Il membro di Rotzo del Pliensbachiano fornisce abbondanti orizzonti fossiliferi, tra cui non soltanto i famosi banchi a Lithiotis presenti nella parte alta di questa unità litostratigrafica della piattaforma di Trento, ma a molti resti di invertebrati marini.

Fig.3, Lithiotis facies and paleogeographic distribution, shell morphology.

click to enlarge

The Lithiotis limestones and the fossiliferous beds of Early Jurassic

Palaeoenvironmental indicators of Lithiotis limestones suggest that shallow-water, warm and diversified lagoons of carbonate platforms were colonized during the Lower Jurassic by gregarious, large bivalve of the Lithiotis group and others large bivalves actually studied by the paleontologic laboratory of University of Ferrara. Difficulty in the study consists in the lacking of actual, analogous organisms. Gregariuos behaviour has been recognized for density of populations forming cycles of facies with dm-thick mounds (bioherms), such as in other areas of Tethys and Panthalassa, from North and South America to the Tethyan region, central Asia and eastern Pacific as far as Timor island. Limestones and marls of Calcari Grigi show other shell concentrations with small bivalves of reef-subtidal-intertidal environments, associated with invertebrates as high-spired gastropods (Nerineacea), brachiopods (terebratulids), isolated corals, sponges, echinoderms, red and green algae (Paleodasycladus, Thaumatoporella, Dasycladaceae) and benthic foraminifers (mainly Orbitopsella and Lituosepta). These diversified assemblages populated lagoons and tidal inlets bordered by marshes, swamps, mud flats and oolitic or sandy barrier island complex of Trento carbonate platform. See studies on Venetian Prealps (Broglio Loriga & Neri, 1976), the biohermal distribution and large bivalve life-position in the Robertson Fm of Oregon, (Nauss & Smith, 1988), and the Lithioperna-Gervillioperna assemblage in southern Spain (Rey et al., 1990).

The aim of Biosedimentary lab of University of Perugia is to apply to each skeletal concentrations of the Calcari Grigi some taphonomic categories known in literature and other new categories for palaeoenvironmental analysis.

I calcari a Lithiotis e le altre facies fossilifere del Giurassico inferiore

I calcari a "Lithiotis", un grande bivalve sessile epifaunale, sono assai rappresentativi per il Giurassico inferiore. Negli ambienti lagunari più o meno protetti di piattaforma carbonatica questi organismi proliferavano in maniera esplosiva (comportamento gregario), costituendo con vari generi e gruppi, attualmente in corso di studio presso il laboratorio di Paleontologia dell'Università di Ferrara, dei mounds a forma lenticolare spessi molti metri ed estesi anche lateralmente. L'unicità e la difficoltà nello studio di questi organismi estinti nel Giurassico inferiore (Fig.3) consiste nel fatto che attualmente non esistono organismi simili per un raffronto diretto. In subambienti vicini proliferavano anche molti altri organismi quali gasteropodi turricolati (Nerineacea), brachiopodi (terebratulidi), coralli isolati, spugne, echinodermi, alghe rosse e verdi (Paleodasycladus, Thaumatoporella, Dasycladaceae) e foraminiferi bentonici (principalmente Orbitopsella e Lituosepta). Nel loro complesso tali fossili si ritrovano a più livelli entro i Calcari Grigi e costituiscono le concentrazioni conchigliari su cui il laboratorio di Stratigrafia dell'Università di Perugia in collaborazione con quello di Ferrara stanno studiando. Facies a Lithiotis (s.l.) si rinvengono in molte altre aree del paleo-oceano Tetideo, nelle Americhe del Nord e del Sud, nell'area Mediterranea (Alpi meridionali-Appennini, Jugoslavia-Albania-Grecia, Spagna-Marocco-Algeria), in Somalia-Medio Oriente e nel sud-est asiatico (isola di Timor). La distribuzione suggerisce che esistevano delle connessioni paleogeografiche marine favorevoli alla migrazione delle larve. Questo grande bivalve coloniale o gregario a valve fortemente asimmetriche (vedi Fig.3), di cui una molto spessa (simile a certe rudiste del Cretaceo), viveva infossato nel sedimento forse crescendo in posizione subverticale. Tuttavia a causa del fatto che non abbiamo organismi comparabili attualmente si hanno poche notizie deducibili dalla paleontologia. Alcune bioerme giurassiche dell'Oregon mostrano verso il centro organismi subverticali in posizione di vita, mentre nei fianchi della bioerma, dove si rinvengono gli individui morti, essi si ritrovano per lo più suborizzontali rimaneggiati dalle correnti mareali e dalle tempeste. Le facies laterali alle bioerme erano fangose, con molti gasteropodi nerineidi e brachiopodi terebratulidi (vedi gli studi sulle Prealpi Venete da Broglio Loriga & Neri, 1976; la Fm Robertson in Oregon da Nauss & Smith, 1988, e le associazioni a Lithioperna-Gervillioperna nella Spagna meridionale, Rey et al., 1990).

Scopo del Biosedimentary lab di Perugia è di applicare ad ogni concentrazione scheletrica nei Calcari Grigi le categorie tafonomiche conosciute in letteratura e altre nuove sottocategorie sotto riportate per l'analisi paleoambientale.


Taphonomy

Taphonomy involves all processes affecting an organism during time spanning from their death to the burial. The methodology consists on a database (Monaco, 1999, 2000) with taphonomic recurrences and computer image processing. Quantitative analysis helped to identify the origin of many skeletal concentrations of a shallow neritic setting. Taphocharacters are referred to 4 main categories and 25 subcategories and are: physical agents (see table) produced by fair-weather waves or combined-flow agents, proximal to distal tempestites for jurassic winter storms or hurricanes, and winnowed beds for sea-bottom currents (Fig.4). Biological agents (see table and Fig.5) suggest biological overprint induced by surficial and deep burrowing, involving the substrate by means of active burrowers such as decapod crustaceans that in the Pliensbachian of the Rotzo member are very abundant (Monaco & Garassino, paper submitted). Taphonomic distortion (predation, boring, etc.) affects many skeletal remains before (or after) the burial. Late biostratinomy and early diagenesis (aerobic biodegradation, geopetal cements in cavities, cementation and dissolution) promote no transport of shells whithin the substrate after burial. The purpose of taphonomy was to distinguish, by means of microstratigraphy and taphocharacters, the degree of the biological overprint on physical deposits (i.e. preservation of burrowing after storm events) and sedimentation rates inthe Jurassic. The aim is to define the allocation of skeletal remains after their deposition and reconstruct the degree of the reworking under the action of palaeobenthic communities.

Tafonomia

La tafonomia è la disciplina che si occupa delle trasformazioni che subisce un organismo dal momento della sua morte fino al seppellimento. La metodologia adottata da questo laboratorio consiste nell'analizzare i caratteri tafonomici più ricorrenti, utilizzando un database (Monaco, 1999, 2000) dove vengono classificate le concentrazioni scheletriche ed i relativi tafocaratteri (vedi tabella). I tafocaratteri sono suddivisi, a secondo delle peculiarità, in quattro principali categorie (agenti fisici, agenti biologici, distorsione tafonomica, biostratinomia tarda/diagenesi precoce), e 25 sottocategorie (vedi tabella), in accordo, per esempio, ai dati tafonomici espressi per le associazioni a cefalopodi giurassici delle piattaforme iberiche (vedi Fernández-López, 1997) dove esiste un approfondito studio tafonomico. Le concentrazioni fisiche sono riconducibili a vari processi quali: moti ondosi normali e di tempesta, flussi combinati, correnti tidali e winnowing, tempestiti ossia depositi relativi a flussi densi originati da uragani con trasporto lungo ampie distanze, eccetera (Fig.4). Quelle dovute invece a processi biologici si riferiscono prevalentemente ad attività di burrowing superficiale o profondo, agente cioè sul substrato nel suo complesso e ad opera di molti organismi fossatori e scavatori come ad esempio crostacei decapodi, di cui esistono tracce fossili molto ben conservate e in corso di studio (Monaco & Garassino, paper submitted). Le altre categorie si riferiscono a biostratinomia tardiva/diagenesi precoce (nota: biostratinomia e diagenesi del fossile costituiscono le due grandi suddivisioni classiche della tafonomia), ed infine la distorsione tafonomica o attività in situ nel substrato, senza spostamento del fossile (Fig.5). Lo scopo della tafonomia nei Calcari Grigi è quello di ricostruire, filtrando i vari processi, una sequenza genetico-tafonomica per ogni facies analizzata, al fine di determinare il grado di rielaborazione subita nei tempi geologici.


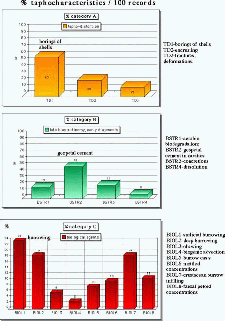
Taphocharacters and Agents in the Calcari Grigi, Rotzo Member, Pliensbachian
(from Monaco, 1999; 2000; Monaco & Giannetti, 2001):

physical agents:
fragmentation and reorientation
winnowing
grouping and stacking
disarticulation
concavity-upwards
abrasion
convexity-upwards
passive infilling of abandoned burrows
shelter porosity
biogenic agents:
surficial burrowing
deep burrowing
chewing
fecal peloid concentration
fragmentation, reorientation
boring
biogenic advection
mottling
active burrow infilling
taphonomic distortion (in situ):
fractures and collapse
deformation and rasping for predation
encrusting, boring
late biostratinomy and early diagenesis:
aerobic biodegradation
geopetal cement in cavities, concretion
dissolution
Quantitative results

Quantitative analysis involves 450 skeletal concentrations. Database involves representative taphocharacters of about 100 records, plotted (see the following diagrams) considering all 25 subcategories of main 4 categories (A,B,C,D) of this study.

Risultati quantitativi

L'analisi quantitativa è stata eseguita su circa 450 concentrazioni scheletriche. Le foto dei più caratteristici tafocaratteri sono immesse nel database per 100 schede. I grafici riportati sotto si riferiscono ai valori delle 25 sottocategorie, per ciascuna delle 4 categorie (A,B,C e D).

Fig.4, quantitative analysis of physical taphocharacters on about 450 skeletal concentrations (about 120 records in the database), Plensbachian

click to enlarge

Fig.5, quantitative analysis of taphocharacters of biogenic origin, of distortion, and of late biostratinomy/early diagenesis on about 450 skeletal concentrations (120 records in the database), Pliensbachian.

click to enlarge


conclusions

The 450 skeletal concentrations obtained from the Lower Jurassic carbonate platform, Lithiotis facies of the Trento area (Italy), reveal well-preserved taphonomic features. Shallow-water deposits suggest a close relationship between physical events and biological ones, with complex taphonomic histories, as recorded in a specific database (Macintosh computer). Physical deposits, sedimentary structures and taphonomic features indicate transport and accumulation under various degrees of energy in a shallow-water, tidal environment. Fragmentation, shelter porosity, grouping, stacking, mud and peloid infilling, winnowing of mud, abrasion, re-orientation and disarticulation are commonly developed, showing various degrees of recurrence. Biological agents, on the contrary, reveal a strong surficial burrowing (unknown organisms), deep burrowing (mainly by decapod crustaceans), chewing, biogenic advection, burrow casting, fecal peloid concentration and crustacean burrow infilling. These biogenic activities in a carbonate platform environment induced diagenesis and nodularity of the substrate more frequently that the physical ones, showing peculiar taphonomic features that are interpreted by means of microstratigraphy and quantitative analysis.
conclusioni

Sono state analizzate 450 concentrazioni scheletriche nelle successioni di piattaforma dei Calcari Grigi del Giurassico inferiore (area di Trento). Lo studio rivela alcune ben preservate classi tafonomiche, e viene individuata una stretta relazione tra eventi fisici e biologici, interagenti tra loro, con prevalenza dei secondi come evidenziato dal database (Macintosh). I depositi dovuti ad agenti fisici rivelano strutture sedimentarie indicanti trasporto e accumulo sotto vario grado di energia in ambienti tidali, di mare sottile. Frammentazione, porosità da riparo, raggruppamento ed impilamento dei gusci, riempimento (passivo) di fango e peloidi, winnowing, abrasione, riorientazione e disarticolazione sono i caratteri più comuni tra quelli osservati. Gli agenti biologici, invece, comprendono burrowing superficiale e profondo (dovuto principalmente a crostacei decapodi, ma non solo), masticazione, advezione biogenica, riempimento (attivo) dei burrows, concentrazioni naturali di peloidi fecali, eccetera. Queste attività biogeniche inducono una forte ed estesa rielaborazione del substrato inducendo, in fase diagenetica, una nodularità molto caratteristica. In genere le cause biogeniche interessano il substrato assai più frequentemente delle cause puramente fisiche, mostrando particolari tafocaratteri ricorrenti che si possono adeguatamente interpretare per mezzo della microstratigrafia e dell'analisi quantitativa.


Selected references

• BOSELLINI, A., & BROGLIO LORIGA, C. 1971. I "Calcari grigi" di Rotzo (Giurassico inferiore, Altopiano di Asiago) e loro inquadramento nella paleogeografia e nella evoluzione tettono-sedimentaria delle Prealpi Venete. Ann. Univ. Ferrara s.9, 5 (1), 1-61.
• BOSELLINI, A., MASETTI, D. & SARTI, M. 1981. A Jurassic "Tongue of the ocean" infilled with oolitic sands: the Belluno Trough, Venetian Alps, Italy. Marine Geology, v.44: 55-95.
• BROGLIO LORIGA, C., & NERI, C. 1976. Aspetti paleobiologici e paleogeografici della facies a "Lithiotis" (Giurese inf.). Riv. Ital. Paleont. Strat. Mi., 82 (4), 651-706.
• FERNÁNDEZ LÓPEZ, S. 1997. Ammonites, taphonomic cycles and stratigraphic cycles in carbonate epicontinental platforms. Cuadernos de Geología Ibérica, 23, 95-136.
• MASETTI, D., CLAPS, M., GIACOMETTI, A., LODI, P. & PIGNATTI P. 1998. I Calcari Grigi della piattaforma di Trento (Lias inferiore e medio, Prealpi Venete). Atti Tic. Sc. Terra, v.40: 139-183.
• MONACO P. 1999 - Computer database as a tool to investigate taphonomy and events in carbonate platform environments. In: A.Farinacci & A.R.Lord (eds.) Depositional Episodes and Bioevents, Paleopelagos, Spec.Public. vol.n°2, Roma (1999): 105-122.
• MONACO P. 2000. Biological and physical agents of shell concentrations of Lithiotis facies enhanced by microstratigraphy and taphonomy, Early Jurassic, Gray limestones Formation, Trento area (Northern Italy). In: R.L.Hall and P.Smith (Eds.), Advances in Jurassic Research 2000, GeoResearch Forum vol.6 (2000), Trans Tech Publ., Switzerland: pp.473-486.
• MONACO P. & GIANNETTI A. (2001) - Stratigrafia tafonomica nel Giurassico inferiore dei Calcari Grigi della Piattaforma di Trento. Atti Ticinensi di Scienze della Terra, vol.42 (2001), 175-209, 27 figg.
MONACO P. & GIANNETTI A. (2002). Three-dimensional burrow systems and taphofacies in shallowing-upwards parasequences, lower jurassic carbonate platform (Calcari Grigi, Southern Alps). Facies, 47, 57-82, Erlangen (2002).
•MONACO P. & GARASSINO A. (2001). Burrowing and carapace remains of crustacean decapods in the Calcari Grigi, Early Jurassic, Trento platform. Geobios 34, 3: 291-301.
• MONACO P. (2001). Tiered ichnoassemblages in Jurassic tempestites from Apennines and Southern Alps. Boll. Soc. Geol. It., Volume speciale n°1 (2001), Roma.
• NAUSS, A. L., & SMITH, P. L. 1988. Lithiotis (bivalvia) bioherms in the Lower Jurassic of east-central Oregon, U.S.A. Palaeogeogr. Palaeoclimatol. Palaeoecol., 65, 253-268.
• REY J., ANDREO B., GARCÍA-HERNÁNDEZ M., MARTÍN-ALGARRA A. & VERA J.A. 1990. The Liassic "Lithiotis" facies North of Vélez Rubio (Subbetic Zone). Rev. Soc. Geol. España, 3 (1-2): 200-212.
• ZEMPOLICH, W.G. 1993. The drowning succession in Jurassic carbonates of the Venetian Alps, Italy: a record of supercontinent breakup, gradual eustatic rise, and eutrophication of shallow-water environments. In: R.G.Loucks and J.F.Sarg (Eds.), Carbonate sequence Stratigraphy – Recent Developments and Applications, AAPG Memoir No 57, Tulsa: 63-105. 



All photos and diagrams on this page are copyrighted. ©1998-99 Biosedimentary lab of Perugia University, Paolo Monaco
Permission to use these photos must be obtained from the page author at the e-mail address above.